Aspiriini

Mistä aspiriinia saadaan?

rakennekaavat
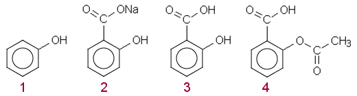
1.

Oheinen yhdistesarja liittyy aspiriinin (4) teolliseen valmistamiseen. Nimeä yhdisteet 1 – 3 ja kirjoita aspiriinille nimi, joka on johdettu yhdisteestä 3.

1 3
2 4
2.

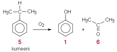
Yhdistettä 1 valmistetaan kumeenista seuraavasti:

synteesi
Kumeeni on hiilivety, joka tunnetaan myös rakenteensa mukaisella nimellä . Reaktiossa kumeeni , koska synteesin tuotteina syntyy happea sisältäviä yhdisteitä. Molemmat tuotteet ovat tärkeitä teollisuuskemikaaleja. Yhdiste 6 on ja systemaattiselta nimeltään .
3.

Yhdisteestä 1 valmistetaan yhdistettä 3 teollisesti seuraavalla tavalla:

Kolben synteesi
Kolben synteesissä kiinnittyy OH-ryhmän viereen renkaaseen muodostaen . Koska reaktio-olosuhteet ovat , syntyy aluksi suola. Lisäämällä saadaan lopputuote.
4.

Aspiriinin synteesi on esteröitymisreaktio, joka poikkeaa tavanomaisesta kaavasta:

alkoholi + happo esteri + vesi
Aspriinin synteesi

Täydennä oheiset lauseet yllä olevan reaktioyhtälön pohjalta:

Aspiriinisynteesin happokomponenttina toimii etikkahapon , joka muodostaa esterin yhdisteen 3 kanssa. Kuten yleensä esteröitymisessä myös aspiriinin synteesissä käytetään katalyyttiä. Katalyyttinä toimii väkevä, vahva . Reaktiossa lohkeaa eikä vettä.
Esterin muodostuminen on tyypillinen tasapainoreaktio, mutta tässä tapauksessa lohkeamistuote estää esterin hajoamista, koska aspiriini on esteri.
Aspiriini on kiinteä aine mutta liukenee helposti kuumaan veteen, joten se voidaan puhdistaa vesiliuoksesta. Vesiliukoisuudesta on etua, koska aspiriini on suun kautta otettava , jonka on liuettava nopeasti mahan tai suolen sisältöön.
Annoit yhteensä
Vihjeitä katsoit

oikeaa vastausta 20 kohtaan.
tarjolla olevista 11:sta.

Kemian sivut