1 | 2 | 3 | 4 | 5 | 6 | 7 | +8 | kysymykset (erilliseen selainikkunaan)
Tehtävän käsitteet on helppo tarkistaa oppikirjoista, mutta ohessa ehdotuksia vastaukseksi.
a) Alkuaine on täsmällisimmin määriteltävissä atomin rakenteen perusteella: alkuaineen kaikilla atomeilla on sama järjestysluku Z ts. niiden ytimessä on sama määrä protoneja. (Joskus alkuainetta on ollut tapana kuvata myös siten, että se on aine, jota ei kemiallisin keinoin pystytä jakamaan pienempiin osiin.)
![]() |
Kuvassa on kahden hiilen isotoopin C-12 ja C-14 merkintä, josta käy ilmi niiden ero. Molemmilla isotoopeilla on ytimessään 6 protonia, mutta niiden massaluku on erilainen, koska ytimissä on eri määrä neutroneja. C-12 -isotoopilla on 12 6 = 6 neutronia, kun taas C-14-isotoopilla on 14 6 =8 neutronia. |
b) Isotoopit ovat saman alkuaineen erimassaisia atomeja. Useimmilla alkuaineilla on erilaisia isotooppeja. Luonnosta eristetyt alkuaineet ovat yleensä isotooppiensa seoksia.
c) Ioni on yhdestä tai useammasta atomista muodostunut hiukkanen, jolla on sähkövaraus. Sähkövaraus on negatiivinen, jos ioni on muodostuessaan saanut yhden tai useamman elektronin. Ionin varaus on positiivinen, mikäli ioni on syntyessään menettänyt elektroneja. Metallit muodostavat helposti positiivisia ioneja, koska niiden uloimmalla elektronikuorella on vähän elektroneja, jotka irtoavat helposti. Ioniin jää tällöin uloimmaksi elektronikuoreksi edellinen täysi (oktetti!) kuori. Epämetalleille tyypillisiä ovat puolestaan negatiiviset ionit, koska epämetallien uloimmalla kuorella on runsaasti elektroneja: täydestä miehityksestä (tai oktetista) puuttuu vain 1 3 elektronia. Ionin varaus määräytyy yhtä ionia kohti saatujen tai luovutettujen elektronien lukumäärän mukaan.
Esimerkki
Natriumatomista tulee
Na+-ioni, kun atomin uloimmalta kuorelta irtoaa yksi elektroni.
Kalsium atomista irtoaa helposti kaksi elektronia uloimmalta kuorelta, joten
tuloksena on Ca2+-ioni. Oksoniumioni H3O+ on
kompleksi-ioni, joka syntyy vesimolekyylin poimiessa mukaansa yhden protonin
H+.
Kloridi-ioni Cl muodostuu klooriatomin saadessa uloimmalle kuorelleen yhden elektronin lisää entisten seitsemän lisäksi. Sulfaatti-ioni SO42 on koostunut rikkiatomista ja neljästä happiatomista, mutta kooste potee kahden elektronin vajausta.
d) Elektrolyytti on ioneista koostuva aine, joka johtaa sähköä joko sulatteena tai vesiliuoksena. Sähkönjohtavuus perustuu siihen, että sulatteessa ja liuoksessa ionit pääsevät liikkumaan melko vapaasti. Tyypillisiä elektrolyyttejä ovat suolat, sekä hapot ja emäkset. Happojen ja emästen vesiliuoksissa on ioneja protolyysireaktion seurauksena.
Esimerkki
NaCl on suola, joka koostuu
Na+- ja Cl-ioneista. Suolahappo eli HCl(aq) on
elektrolyytti, jonka vesiliuoksessa tapahtuu protolyysi:
e) Liuos on homogeeninen seos (yleensä nestemäinen). Aidossa liuoksessa hiukkaset ovat niin pieniä, ettei niitä pysty näkemään edes mikroskoopilla, joten liuos (neste) näyttää läpikuultavalta ja kirkkaalta. Liuoksiksi sanotaan myös kolloidikokoisia hiukkasia sisältäviä nestemäisiä seoksia, jotka voivat näyttää paljaalle silmälle kirkkailta (kahvi) tai hieman valoa hajottavilta (saippualiuokset).
Esimerkki
NaCl on kiteinen suola, joka liukenee
melko suurina määrinä veteen. Tuloksena on kirkas neste, jossa
on ioneja. NaCl on liuennut aine ja vesi liuotin. Sokeri on molekyyliyhdiste,
joka liukenee myös hyvin veteen. Sokerin kidehila purkautuu molekyyleiksi
vedessä. Sokerin vesiliuos sisältää siten sokeri- ja
vesimolekyylejä. Sokeri on liuennut aine ja vesi liuotin.
Myös nesteet voivat liueta toisiinsa: vesi ja etanoli muodostavat liuoksia, joissa kumpi tahansa aineista voi olla liuotin. Liuotin on kulloinkin se aine, jota liuoksessa on enemmän.
Kaasutkin muodostavat nesteiden kanssa liuoksia.
Hyvin suurimolekyyliset yhdisteet, kuten proteiinit, muodostavat useimmiten kolloidisia liuoksia.
f) Liuotin on aine, joka muodostaa edellisessä kohdassa mainittuja liuoksia siten, että on niissä pääkomponenttina. Ylivoimaisesti yleisin liuotin on vesi, joka liuottaa sekä suoloja että molekyyliyhdisteitä. Tavallisia orgaanisia liuottimia ovat dietyylieetteri H3CH2OCH2CH3, etanoli H3CH2OH ja dikloorieteeni CH2Cl2. Myös bensiiniä nimitetään joskus liuottimeksi, vaikka se itse asiassa on jo itse liuos: se sisältää useita erilaisia C8-sarjan hiilivetyjä ja joitakin aromaattisia hiilivetyjä.
a) Tasapainotettu reaktioyhtälö:
b) Lasketaan aluksi NaI:n ja MnO2:n
ainemäärät, jotta saadaan selville kumman aineen
määrä rajoittaa tuotteen muodostumista.
n(NaI) = 0,50
M · 150 ml =75,0 mmol
n(MnO2) = 2,9 g
: 86,94 g/mol = 0,033356 mol = 33,356 mmol
Reaktioyhtälön
mukaan n(NaI) = 2 · n(MnO2)
2
· 33,356 mmol = 66,712 mmol < 75,0 mmol
Tuotteena syntyvän jodin määrä lasketaan siten
mangaanidioksidin ainemäärän
perusteella:
n(I2) = n(MnO2)
m(I2) = 0,033356 mol · 253,81 g/mol =
8,5 g
c) Reaktiossa käytetään hapettavana reagenssina mangaanidioksidia MnO2, johon hapetusasteella +4 sisältyvä mangaani-ioni toimii varsinaisena hapettimena pelkistyen +2:n arvoiseksi (vastaanottaa 2 elektronia/ ioni). NaI:n -1:n arvoinen jodidi-ioni toimii pelkistimenä (luovuttaa elektronin/ioni) jodidin hapettuessa alkuainejodiksi I2, jonka hapetusaste on 0.
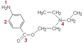
| 1 primaarinen
amiini 2 aromaattinen yhdiste 3 esteri 4 tertiaarinen amiini |
![]() |
Prokaiinia hydrolysoitaessa esteri purkautuu ja syntyvät tuotteet A ja B.

a) Oikein
b) Oikein
c)
Väärin
Liuoksen pH on yli 7. Jos titrauksesta on
tallennettu titrauskäyrä, käyrältä voidaan saada
yksiarvoisen hapon pKa-arvo pisteestä, jossa puolet
haposta on neutraloitu, koska liuoksen pH = pKa +
lg([suola]/[happo] ja tällöin konsentraatiot [suola] ja [happo] ovat
yhtä suuret.
d) Väärin
Liuoksen pH on
jonkin verran emäksisellä puolelle, koska titrataan heikkoa happoa
vahvalla emäksellä.
e) Väärin.
Liuos
ei ole puskuriliuos, koska happo on neutraloitu (liuos on tällöin
vain lievästi emäksinen suolaliuos). Ekvivalenttikohdassa pH-muutos
on jyrkkä pienenkin emäs- ja happolisäyksen vaikutuksesta. Huom.
titrauskäyrässä ekvivalenttikohdalla on
hyppäys.
f) Väärin
Natrium- ja
hydroksidi-ionin konsentraatiot poikkeavat toisistaan, koska hydroksidi-ionien
valtaosa on reagoinut oksoniumionien kanssa tuottaen vettä, mutta
liuokseen tulleet natriumionit ovat reagoimattomina tallella
liuoksessa.
Neutraloituminen kuluttaa hydroksidi-ioneja:
a) Puhtaassa vedessä tapahtuu molekyylien törmäysten seurauksena hyvin vähäisessä määrin vesimolekyylien hajoamista ioneiksi eli veden autoprotolyysiä
Hydroksidi- ja oksoniumionien konsentraatioiden tuloa
Kw =
[OH ][H3O+] nimitetään
veden ionituloksi. Se voidaan tulkita edellä esitetyn reaktion
tasapainovakion lausekkeeksi, josta hajoamatta jääneen veden
konsentraatio on jätetty pois.

b) 40 °C:ssa Kw = 2,9 ·
1014(mol/l)2
[H3O+] =
[OH ] = (2,9 ·
1014mol2/l2)0,5 = 1,702
· 107 mol/l
log 1,702 ·
107 = 6,77
pH = 6,8.
c) pH + pOH = pKw
30 °C:ssa
Kw = 1,45 ·
1014(mol/l)2
pKw = log
1,45 · 1014 = 13,84
pOH = 13,84 4,52
= 9,32
c(OH) = 109,32 mol/l = 4,79
· 1010 mol/l eli 4,8 ·
1010 mol/l
Jos käyrältä luetaan arvoksi:
Kw = 1,5 ·
1014(mol/l)2, c(OH) :ksi
saadaan 5,0 · 1010 mol/l
d) Autoprotolyysi on endoterminen reaktio, koska lämpötilan kohotessa vesimolekyylejä hajoaa enemmän (ionitulon arvo kasvaa lämpötilan noustessa).
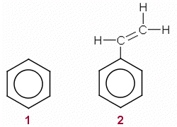
a) Oletetaan 100 g:n näyte ja lsketaan alkuaineiden ainemäärät.
| C | H | |
| % | 92,2 | 7,8 |
| m (g) | 92,2 | 7,8 |
| M g/mol | 12,01 | 1,01 |
| n(mol) | 7,68 | 7,72 |
| suhdeluku | 1 | 1 |
Koska ainemäärien suhde: n(C) : n (H) = 1 : 1, yhdisteen suhdekaava on k(CH).
Mahdollisia ehdokkaita ovat
bentseeni:M(C6H6) = 78 g/mol << 110
g/mol
styreeni: M(C8H8) = 104 g/mol < 110
g/mol

Näistä styreenin moolimassa on lähempänä annettua moolimassaa 110 g/mol, mutta betseeniäkään ei voida sulkea pois.
Styreenin muita vastauksessa
hyväksyttäviä nimiä:
vinyylibentseeni,
etenyylibentseeni, fenyylieteeni.
Reaktioyhtälö
Vetyperoksidi hajoaa reaktiossa hapeksi ja vedeksi. Kaasu voidaan johtaa reaktioastiasta esim. letkua pitkin kaasunmittausylinteriin tai vesimaljaan alassuin asetettuun koeputkeen (tai mitta-asteikolla varustettuun lasisylinteriin tai pulloon) tai tyhjään ilmapallon kuoreen. Ilmapallon kuorta käytettäessä kaasun tilavuuden mittaus voi olla hankalaa, mutta kaasunmittaussylinteriin on kyllä mahdollista ottaa näyte pallosta.
Muitakin ratkaisuja hyväksyttiin.
Kaasun
keräysastiaksi vältetään yleensä
käyttämästä tasapohjaista lasiastiaa, mutta vastauksessa
tasapohjainen pullo kuitenkin hyväksyttiin.
Kaasu voidaan todeta hapeksi viemällä hehkuva puutikku keräysastian suulle. Koska astian suulla hapen määrä on suurempi kuin huoneilmassa, tikku leimahtaa liekkiin.
Kaasun massan selvittämiseksi kerätään määrätilavuus kaasua.
m(O2) = 32,00 g/mol · V : V m
Mikäli kaasun tilavuus halutaan
määrittää tarkasti, on otettava huomioon huoneen
lämpötila ja vallitseva ilmanpaine. Tällöin laskelmissa
turvaudutaan ideaalikaasun tilanyhtälöön
pV = nRT.
Työturvallisuus
Liekkiä käsiteltäessä
on varottava sytyttämästä muuta kuin testitikku. Riski riippuu
tietysti hapen määrästä. Työ on paras tehdä
vetokaapissa. Silmät on syytä suojata. Vetyperoksidi (jos
käytetään väkeviä liuoksia) on
syövyttävää. Myös kädet siis suojataan.
Sitaatti MAOL ry:n pistesuosituksesta kemian reaalikokeen tehtäviin keväällä 2005:
| Selitetty dispersiovoimien ja dipoli-dipolisidoksen muodostuminen sekä erikoistapauksena vetysidos. | 2 3 p |
| Selitetty esimerkein sidoksen vaikutus sulamis- ja kiehumispisteeseen sekä liuokoisuuteen. | 3 4 p |
| Tarkasteltu muita ominaisuuksia sidosten kannalta, esimerkiksi vetysidoksen merkitys veden ja biokemiallisten yhdisteiden ominaisuuksissa. | 2 3 p |
| yhteensä | 9 p |
| Korkeammat pistemäärät edellyttävät kemiallisesti kypsää, hyvin jäsenneltyä aiheen käsittelyä ja riittävän monipuolisten esimerkkien käyttämistä. |
Vertaa yo96k.html tehtävä 1.