Selvitä esimerkin avulla, mitä tarkoitetaan seuraavilla käsitteillä:
Kun epäpuhdasta sinkkimetallia käsiteltiin ylimäärällä rikkihapon vesiliuosta, muodostui sinkkisulfaattia (ZnSO4) ja vetykaasua. a) Laadi reaktioyhtälö. b) Mikä oli sinkkimetallin puhtausprosentti, kun 3,86 gramman näytteestä saatiin 0,109 g vetykaasua? c) Mitä oletuksia laskussa tulee tehdä?
|
3.
Oheisessa kuvassa on esitetty lyijy(II)kloridin liukoisuus grammoina 100 grammaan vettä eri lämpötiloissa. 0,75 grammaa lyijy(II)kloridia sekoitetaan 100 millilitraan
vettä. |
|
Kun ammoniakkia johdettiin ortofosforihapon vesiliuokseen, muodostui suola, jonka todettiin sisältävän 21,2 massaprosenttia typpeä, 23,4 massaprosenttia fosforia, 6,8 massaprosenttia vetyä ja loput happea. Laadi yhdisteen empiirinen kaava (suhdekaava). Mikä suola oli kyseessä (kaava ja nimi)?
Korkeassa lämpötilassa vetyjodidi dissosioituu seuraavasti:
2 HI(g)
H2(g) + I2(g)
a) Eräs tasapainoseos sisälsi 3,02 mol vetyjodidia, 0,32 mol jodia ja 0,52 mol vetyä. Tähän seokseen lisättiin 0,20 moolia jodia. Mikä oli seoksen koostumus astiassa, kun tasapainotila oli jälleen asettunut?
b) Osoita, että muodostuva tasapaino ei riipu reaktioastian tilavuudesta.
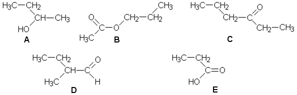
Seuraavassa on esitetty yhdisteiden A - E rakennekaavat:

a) Mihin yhdistetyyppiin kukin näistä kuuluu?
b) Nimeä yhdisteet A-E.
c) Millä yhdisteistä
esiintyy optista aktiivisuutta?
d) Mitkä yhdisteistä
reagoivat toistensa kanssa? Esitä reaktioyhtälöt rakennekaavoin.
Kuvaa jotain yksinkertaista tapaa, jonka avulla voit osoittaa, että
a) etikkahappo on heikko happo,
b) rauta on
epäjalo metalli,
c) kiinteä litiumkloridi on ioniyhdiste,
d) valkea jauhemainen aine on natriumkarbonaattia.
Fossiiliset polttoaineet. Tarkastele myös fossiilisten polttoaineiden käytöstä johtuvia ympäristöhaittoja ja keinoja näiden haittojen vähentämiseksi.