1 | 2 | 3 | 4 | 5 | 6 | 7 | +8 | kysymykset (erilliseen selainikkunaan)
a) Vesiliuos on emäksinen, jos siinä on OH -ioneja enemmän kuin H3O+-ioneja. Liuoksen emäksisyys voidaan todeta mittaamalla sen pH. Jos pH on yli 7, liuos on emäksinen. Esimerkiksi NaOH:n vesiliuos on emäksinen.
b) Liuotin on pooliton, jos se koostuu poolittomista molekyyleistä. Poolittomassa molekyylissä ei ole osittaisvarauksia tai osittaisvaraukset ovat sijoittuneet siten, että ne kumoavat toistensa vaikutuksen. Esimerkiksi dietyylieetteri CH3CH2OCH2CH3 on pooliton liuotin.
c) Ylikylläinen liuos sisältää liuennutta ainetta enemmän kuin aineen liukoisuus edellyttää ko. lämpötilassa. Tämän takia ylikylläinen liuos on epästabiili ja siinä oleva liuennut aine saattaa kiteytyä yhtäkkiä. Karamellien valmistuksessa käytetään usein ylikylläisiä sokeriliuoksia.
d) Heterogeeninen seos sisältää hiukkaskooltaan vaihtelevia seoskomponentteja ja yleensä kaksi eri faasia. Esimerkiksi savu ja sumu ovat heterogeeninisiä seoksia, samoin muta ja emulsiot.
a) Reaktioyhtälö
b) ja Reaktioyhtälön perusteella vedyn ja sinkin
ainemäärät ovat yhtä suuret:
n(Zn) =
n(H2) = m(H2) :
M(H2)
n(Zn)= 0,109 g : (2 ·
1,008 g/mol) = 0,05407 mol
Sinkin massa m(Zn) = n(Zn)
· M(Zn)
m(Zn) = 0,05407 mol ·
65,39 g/mol = 3,536 g
Puhtausprosentti on siten 100 % · 3,536 g : 3,86 g = 91,6 %
c) Näin laskettaessa oletetaan, että kaikki näytteen sinkki reagoi ja ettei näytteessä ole sellaisia sinkkiyhdisteitä tai muita epäpuhtauksia, jotka vapauttavat rikkihapon kanssa reagoidessaan vetykaasua.
a) Lyijy(II)kloridia on 0,75 g/ 100 ml vettä (100 ml
vettä = 100 g vettä)
Lämpötilassa 20 °C
lyijykloridia jää liukenematta:
0,75 g 0,38 g = 0,37
g
b) Jotta kaikki PbCl2 liukenisi, lämpötilan on oltava 56 °C.

c) Lyijy(II)kloridia liukenee 35 °C:ssa 0,55 g/100 g
vettä.
n(PbCl2) = 0,55 g : 278,1 g/mol =
0,001978 mol
Liukoisuus on siten 0,001978 mol/ 100 ml = 0,020
mol/l
d) Lyijykloridia liukenee 0,38 g/100 g vettä 20
°C:ssa.
n(PbCl2) = 0,38 g : 278,1 g/mol =
0,001366 mol
Liukoisuus on siten 0,01366 mol/l.
Liukoisuustuloksi (20
°C) saadaan:
KL =
[Pb2+][Cl]2 = 0,01366 mol/l
· (2 · 0,01366 mol/l)2 = 1,02
· 105mol3/l3
Huom! Kaaviosta saadut lukemat voivat hieman vaihdella, mikä vaikuttaa vastauksiin.
Oletetaan 100 g:n näyte.
Näyteessä on
happea 100,0 % (21,2 % + 23,4% + 6,8 %) = 48,6 %
| % | N | P | H | O |
| 21,2 | 23,4 | 6,8 | 48,6 | |
| m (g) | 21,2 | 23,4 | 6,8 | 48,6 |
| M (g/mol) | 14,1 | 31,0 | 1,0 | 16,0 |
| n (mol) | 1,51 | 0,75 | 6,8 | 3,04 |
| suhdeluku (jaettuna 0,75:llä) | 2 | 1 | 9 | 4 |
Empiirinen kaava k( N2PH9O4)
Koska (tehtävässä) ammoniakki NH3 reagoi ortofosforihapon H3PO4 kanssa, suolassa täytyy olla ammoniumioneja ja fosfaatti- tai vetyfosfaatti-ioneja.
Suola on (NH4)2HPO4 eli diammoniumvetyfosfaatti.
Reaktioyhtälö
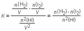
a) Reaktioyhtälöstä saadaan tasapainovakiolle lauseke

K = n(H2) ·
n(I2) : n2(HI)
Tilavuus V
supistuu pois, samoin yksikkö mol/l.
| Tasapainoseoksen koostumus | |||
| n (mol) | HI | H2 | I2 |
| 3,02 | 0,52 | 0,32 | |
K = 0,32 · 0,52 : 3,022 = 0,01824
I2-lisäyksen 0,20 mol jälkeen syntyneessä uudessa tasapainossa ainemäärät ovat:
| Uuden tasapainoseoksen koostumus | |||
| n (mol) | HI | H2 | I2 |
| 3,02 + 2x | 0,52 x | 0,32 + 0,20 x = 0,52 x |
|
Sijoitetaan arvot tasapainovakion lausekkeeseen. Saadaan toisen asteen
yhtälö, joka ratkaistaan.
(0,52
x)2: (3,02 + 2x)2 = 0,01824
(0,52
x) : (3,02 + 2x) =
0,018240,5
x = 0,0882
Seoksen koostumus
n(HI) = 3,02 mol + 2 · 0,0882
mol = 3,20 mol
n(H2) = 0,52 mol 0,0882 mol =
0,43 mol
n(I2) = 0,52 mol 0,0882 mol =
0,43 mol
b) Katso a-kohdan lauseke ja sen käsittely.
a) A sekundaarinen alkoholi, B esteri, C ketoni, D aldehydi, E karboksyylihappo

b) A 2-butanoli, B etikkahapon propyyliesteri, propyyliasetaatti, C 3-heksanoni, D 2-metyylibutanaali, E propaanihappo (propionihappo)
c) Optisesti aktiivisia ovat yhdisteet A (asymmetrinen hiiliatomi on hiili numero 2) ja D (asymmetrinen hiiliatomi on hiili numero 2).
d) A ja E voivat muodostaa esterin:

A voi reagoida itsensä kanssa väkevän rikkihapon läsnä ollessa muodostaen eetterin.

Huom! Eetterin muodostumisreaktiota ei vaadittu mutta sen esittämisestä ei myöskään sakotettu. Tehtävän sanamuoto "mitkä yhdisteet reagoivat toistensa kanssa" voidaan tulkita myös loogisesti saman yhdisteen kanssa tapahtuvaksi reaktioksi.
a) Etikkahappo voidaan todeta heikoksi hapoksi vertaamalla sen tietyn väkevyistä liuosta samanväkevyiseen vahvan hapon liuokseen. Käyttämällä jännitelähdettä ja pientä hehkulamppua todetaan, että hehkulampun valo on heikompi etikkahapon liuoksessa kuin vahvan hapon (esim. HCl) liuoksessa. Etikkahapon liuoksessa on vähemmän sähköä kuljettavia ioneja, koska etikkahappo ei protolysoidu kokonaan kuten vahva happo.
Toinen keino olisi titraus ja titrauskäyrän
tutkiminen. Titrauskäyrän muodosta näkyy, että etikkahappo
on heikko happo. Myös happovakion arvo saadaan
titrauskäyrästä
Kts. yo97k.html#Titraus (uusi
ikkuna)
Kolmas keino on tunnetun väkevyisen laimean etikkahappoliuoksen pH-arvon mittaaminen pH-mittarilla. Esimerkiksi 0,1 M etikkahappoliuoksen pH on pienempi kuin log 0,10 = 1. Vahvan hapon liuoksessa pH olisi 1.
b) Epäjalo metalli vapauttaa hapon kanssa reagoidessaan vetykaasua. Tutkitaan raudan ja laimean suolahapon reaktiota. Reaktiossa vapautuva kaasu todetaan vetykaasuksi palavan tikun avulla (pieni paukahdus).
c) Liuotetaan kiinteää litiumkloridia tislattuun veteen ja mitataan liuoksen sähköjohtavuus. Johtokyky ilmaisee, että liuoksessa on ioneja. Voidaan myös sulattaa kiinteää yhdistettä ja kokeilla sulatteen johtokykyä. Ioniyhdisteen sulate johtaa sähköä.
d) Natrium voidaan todeta liekkikokeella kaasupolttimen liekissä: voimakkaan keltainen liekkiväri ilmaisee natriumin. Karbonaatti-ioni reagoi happojen kanssa vapauttaen hiilidioksidia, joka todetaan palavan tikun avulla: hiilidioksidi sammuttaa liekin.Hiilidioksidi voidaan todeta myös kalkkiveden samentumasta.
Fossiiliset polttoaineet.
Sisältöehdotus: