1 | 2 | 3 | 4 | 5 | 6 | 7 | +8 | kysymykset (erilliseen selainikkunaan)
Veden (H2O) tärkeimmät ominaisuudet ovat
Molekyylirakenne
Vesimolekyyli on V-muotoinen. Hapen ja vedyn
suuren elektronegatiivisuuseron (1,4 ) takia sidoselektronit ovat
lähempänä happiatomia kuin vetyatomeja, lisäksi
happiatomilla on vapaita elektroneja (4 kpl). Niinpä elektronitiheys on
suurempi vesimolekyylin happipäässä kuin
vetypäässä, joten molekyyli on dipoli.
|
![]() |
Molekyylimalleja ei
tietenkään tarvinnut piirtää (vaikkei se vaikeaa
olisikaan). Tiedot rakenteesta ja elektronegatiivisuudesta löytyvät
taulukkokirjasta. |
| H2O | H2S | |
| Elektronegatiivisuusero 3,5 2,1 = 1,4 happi vety |
Elektronegatiivisuusero 2,5 2,1 = 0,4 rikki vety |
Vertailukohtana mainittakoon hapen kanssa samaan jaksollisen järjestelmän ryhmään kuuluvan rikin vastaava vety-yhdiste H2S, jonka molekyyli on myös V-muotoinen (kulma 92°). Rikin ja vedyn välinen elektronegatiivisuusero on 0,4. Divetysulfidi on kaasu huoneenlämpötilassa. Myös rikillä on vapaita elektroneja divetysulfidimolekyylissä.
Vetysidokset
Veden divetysulfidia ja muitakin vastaavia
vety-yhdisteitä korkeamman kiehumis- ja sulamispisteen
selittävät vesimolekyyleille tyypilliset vuorovaikutukset,
vetysidokset. Vesimolekyylien väliset vetysidokset ovat
suhteellisen voimakkaita (huomattavasti van der Waalsin sidoksia vahvempia),
koska happi on erittäin elektronegatiivinen. Sidoksen voimakkuuteen
vaikuttaa myös se, että vetyatomi on kooltaan pieni ja vesimolekyylit
pääsevät sen takia lähelle toisiaan.
Vrt. Yo k 96 tehtävä 1
Vetysidoksista johtuu myös veden suuri pintajännitys.
Vrt. Yo s 96 tehtävä 1 a
Veden jäätyessä muodostuu
vetysidoksin säännöllinen molekyylihila, josta aiheutuvat
lumikiteiden tähti- ja monikulmiorakenteet. Vesi laajenee
jäätyessään, joten jää on nestemäistä
vettä kevyempää ja kelluu pinnalla. Syynä on se, että
jään säännöllinen kidehila vie suuremman tilan kuin
nestemäisen veden epäsäännöllisempi rakenne.
Esimerkiksi kiinteä bentseeni uppoaa nestemäisessä
bentseenissä.
Vrt. Yo 97 k
tehtävä 1a
Ominaislämpökapasiteetti
| Eräiden aineiden
ominaislämpökapasiteetti |
|||
|---|---|---|---|
| Aine | c J/ °Cg |
||
| vesi (jää) | 2,03 | ||
| vesihöyry | 2,01 | ||
| bentseeni | 1,07 | ||
| etanoli | 2,43 | ||
| ilma | 1,01 | ||
| kupari | 0,39 | ||
Veden suurella ominaislämpökapasiteetilla on tärkeä merkitys ilmastotekijänä (vesistöt, kasvihuoneilmiö ym.) ja yleensäkin luonnon lämmönsäätelyssä (ihmiselimistössäkin). Siitä on hyötyä myös teknologiassa (esim. lämmitys). Lämpökapasiteettiin vaikuttavat sekä molekyylin sisäisten sidosten että molekyylien välisten sidosten laatu. Erityisesti nestemäisen veden poikkeuksellisen korkeaan arvoon vaikuttaa molekyylien välisten sidosten "joustavuus": lisääntynyt lämpöliike saattaa katkoa hetkellisesti vetysidoksia, mutta vesimolekyylien törmäillessä syntyy taas helposti uusia sidoksia, mikä jälleen johtuu osaltaan vesimolekyylien pienestä koosta.
Liuotinominaisuudet
"Samanlainen
liuottaa samanlaista." Niinpä vesi liuottaa dipoliominaisuuksiensa
takia poolisia ja ionisidoksellisia yhdisteitä mutta ei poolittomia
yhdisteitä, varsinkaan kookasmolekyylisiä, mikä on biologisissa
systeemeissä oleellinen toiminnan ehto. Vesiliuoksissa ionit ja molekyylit
saavat hydraattiverhon, josta osa saattaa seurata mukana kidehilaan yhdisteen
kiteytyessä.
Esim. CuSO4 · 5 H2O,
(COOH)2 · 2 H2O
Vrt Yo s 97 tehtävä 1 a |
Huomautus
Vrt.
Water
Module,http://cwis.nyu.edu/pages/mathmol/modules/water/water.html
a) Alumiiniset
käyttöesineet yleistyivät vasta 1900-luvulla, kun alumiinin
hinta halpeni ja sen tarjonta kasvoi. Alumiinia valmistetaan elektrolyyttisesti
bauksiitin ja kryoliitin sulatteesta, joten laajamittainen
sähköenergian tuotannon kehittyminen 1900-luvulla oli
edellytyksenä alumiinin massatuotannolle.
Vrt. Yo s 95 tehtävä 1 a
b) Viinimarjamehu sisältää orgaanisia happoja, jotka liuottavat alumiinia ja muodostavat alumiinin kanssa kompleksiyhdisteitä, joten "mehumaijasta" liukenee alumiinia. Alumiiniyhdisteiden on epäilty altistavan dementiaa aiheuttavalle Alzheimerin taudille. Kiistatonta näyttöä ei asiasta ole. "Mehumaija" ainakin syöpyy ja mehuun saattaa tulla hienoisia maku- tai värivirheitä.
c) Vahvasti emäksinen uuninpuhdistusaine syövyttää alumiinia, joka muodostaa emäksisessä vesiliuoksessa Al(OH)4 -kompleksi-ioneja. d) Väkevä typpihappo on voimakas hapetin. Alumiinin pintaan muodostuva tiivis oksidikerros suojaa alumiinia syöpymiseltä (liukenemiselta).
Natriumatsidin hajoamista kuvaava reaktioyhtälö:
a) Rikkiyhdisteiden kaavat
b) Natriumvetysulfiitti NaHSO3 (oikeastaan vetysulfiitti-ioni) toimii amfolyyttinä vesiliuoksessa.
| NaHSO3 liukenee: | NaHSO3 → Na+ + HSO3 |
| HSO3 happona: | HSO3 + H2O → H3O++ SO32 |
| HSO3 emäksenä: | HSO3 + H2O → OH + H2SO3 |
Vastaavasti rikkihapokkeen H2SO3 vesiliuokseen
muodostuva vetysulfiitti-ioni voi toimia amfolyyttinä. Lisäksi
rikkihaposta muodostuva vetysulfaatti-ioni HSO4
pystyy toimimaan amfolyyttinä. Oleellista on, että amfolyytti voi
sekä luovuttaa että vastaanottaa vety-ionin (protonin).
Huom. Vastaukseksi riittää pelkästään
ionin HSO3 toteaminen
amfolyytiksi ja reaktioyhtälöiden esittäminen
perusteluksi.
c) Rikkihapossa H2SO4 rikillä on korkein mahdollinen hapettumisasteensa +6, joten se ei voi toimia pelkistimenä. Rikkihapokkeessa H2SO3 rikin hapettumisaste on +4, joten sekä hapettuminen (pelkistimenä toimiminen) että pelkistyminen (hapettimena toimiminen) ovat mahdollisia.
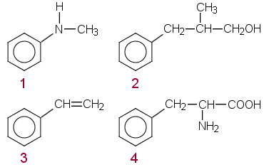
Yhdisteiden reagoivat ryhmät : 1 amiini, 2 alkoholi, 3 kaksoissidos ja 4 aminohappo.
| Yhdisteet | Reaktiot |
|---|---|
![]() |
a) additio kloorin kanssa
3 b) suola HCl:n kanssa 1 ja 4 c) polymeroituminen 3 ja 4 d) hapettuminen aldehydiksi 2 e) veden eliminaatio 2 |
| Tuotteet | |
|---|---|
![]() |
|
![]() |
|
M(HA) = 95 g/mol
Molekyylipainon ja moolimassan lukuarvo on sama. Molekyylipaino ilmoitetaan yleensä paljaana lukuarvona. Tehtävän oikeaksi ratkaisuksi riittää moolimassan laskeminen.
Olkoon kyseinen heikko happo HA. Sen protolyysireaktio vedessä on:
| c alussa | c tasapainossa | yksikkö | |
| HA | x | x 102,78 | mol/l |
| A | 0 | 102,78 | mol/l |
| H3O+ | 0 | 102,78 | mol/l |
Etyyliasetaatin valmistus
Reaktioyhtälö
| Aine | kp °C | M g/mol | Vesiliuk. |
| etikkahappo | 118 | 91 | ++ |
| etanoli | 79 | 46 | ++ |
| etyyliasetaatti | 77 | 119 | vähän |
| vesi | 100 |
| Pesuun kylläistä NaCl-liuosta ja väkevää Na2CO3-liuosta. |
| Kuivaukseen CaCl2-rakeita tai MgSO4-kiteitä. |


Reaktio
Likimain yhtä suuri ainemäärä
(*) etikkahappoa ja etanolia (esim. n. 50 g etikkahappoa ja 25 g etanolia)
pannaan kolviin (1). Seokseen lisätään katalyytiksi muutama
millilitra väkevää rikki- tai fosforihappoa
(H2SO4 tai H3PO4).
Kolviin lisätään myös joitakin kiehumakiviä räiskymisen välttämiseksi. Kolvi varustetaan palautusjäähdyttimellä (2) ja asetetaan sähköhauteeseen. Seoksen annetaan kiehua ainakin tunnin ajan, jotta tasapaino ehtii asettua.
Tuotteen erottaminen
Koska tuotteen ja toisen
lähtöaineen kiehumispisteet ovat hyvin lähellä toisiaan,
tuotetta ei voida erottaa reaktioseoksesta tislaamalla eikä siten
myöskään saantoa pystytä kasvattamaan poistamalla tuotetta
jatkuvasti.
Erottaminen tapahtuu uuttamalla, mikä perustuu liukoisuuseroon: etyyliasetaatti liukenee hyvin niukasti veteen kun taas etanoli ja etikkahappo liukenevat runsaasti. Tasapainon asetuttua reaktioastiassa annetaan seoksen jäähtyä. Jäähtynyt seos kaadetaan erotussuppiloon, jossa sitä ravistellaan kylläisen NaCl:n kanssa hapon, alkoholin ja katalyytin poistamiseksi. NaCl-liuosta käytetään kolme - neljä erää. Ylempi kerros (B) sisältää etyyliasetaatin. Alempi kerros (A) lasketaan jäteastiaan. Esteri voidaan pestä vielä Na2CO3-liuoksella etikkahappojäämien poistamiseksi. Näin saatu tuote ei vieläkään ole puhdasta (se sisältää hieman alkoholia ja vettä), joten se on lisäksi kuivattava CaCl2:lla tai MgSO4:lla.
Tunnistaminen
Etyyliasetaatilla on luonteenomainen voimakas,
pistävä haju, joka on tuttu kynsilakanpoistoaineista. Haisteltava
varovasti!
Lisää aiheesta:
Etälukio, Laboratorio
http://www.oph.fi/etalukio/opiskelumodulit/kemia/labra/index.html
Erotusmenetelmiä,
Uuttaminen (mukana myös video, QuickTime)
Etyyliasetaatin valmistus (Mukana kysysmyksiä ja vastauksia)
Ohessa luetteloa mahdollisesti käsiteltävistä asioista.
Liikenne
Energian tuotanto
Teollisuus
Kemiallisia keinoja päästöjen rajaamiseksi
Teollisuus
Muutaman esimerkkitapauksen lähempi käsittely reaktioyhtälöineen on tarpeen (vaikkapa moottoripolttoaineen valmistuksesta ja katalysaattoreista, sellun valmistuksesta ja sivutuotteiden talteenotosta tms.)
Syytä on myös mainita kemiallisen analytiikan keskeinen rooli päästöjen rajoittamisessa, ympäristön puhtauden seurannassa ja ympäristövaikutusten ymmärtämisessä sekä teollisten kemiallisten prosessien säätelyssä.